Categories Bankowość

Jak w prosty sposób obliczyć odsetki od lokaty i uniknąć nieprzyjemnych niespodzianek

Podziel się z innymi:

Decydując się na lokatę bankową, warto zrozumieć, jakie czynniki wpływają na wysokość odsetek, które możemy otrzymać. W pierwszej kolejności należy zwrócić uwagę na oprocentowanie, ponieważ to właśnie ono określa, jak dużo zainwestowanej kwoty bank odda nam na koniec umowy. Ostatnio zaobserwowaliśmy wzrost oprocentowania, co wynika z działań rządu oraz rosnącej inflacji. Lokaty z oprocentowaniem sięgającym nawet 5% rocznie stają się coraz bardziej powszechne, co daje nam nadzieję na lepsze ulokowanie naszych oszczędności.

Najważniejsze informacje:

  • Zrozumienie czynników wpływających na wysokość odsetek, w tym oprocentowania, czasu lokaty i kwoty deponowanej.
  • Kapitalizacja odsetek odgrywa kluczową rolę w finalnych zyskach, przy czym częstsza kapitalizacja zwiększa zyski dzięki efektowi procentu składanego.
  • Podatek Belki (19%) pomniejsza realne zyski, dlatego warto być świadomym jego wpływu na końcowy przychód z lokaty.
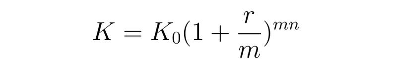
  • Wzór do obliczania kapitalizacji złożonej: K = K0 * (1 + r/m)^(m*n), uwzględniając kapitalizację i podatek.
  • Różnice między kapitalizacją prostą a złożoną: kapitalizacja złożona generuje wyższe zyski przez uwzględnienie odsetek od wcześniej naliczonych zysków.
  • Wprowadzenie kwoty wolnej od podatku w 2026 roku zwiększy atrakcyjność lokat bankowych i dopuści długoterminowe oszczędzanie bez obaw o podatki.

Nie można również zapominać o czasie, na jaki zakładamy lokatę. Dłuższy okres inwestycji często skutkuje możliwością uzyskania wyższego oprocentowania. W praktyce wiele banków preferuje klientów, którzy wiążą się z nimi na dłużej, co zwiększa stabilność ich kapitału. Ponadto warto brać pod uwagę, że wysokość odsetek uzależniona jest od kwoty, którą zdeponujemy. Zwykle wyższe wpłaty przekładają się na lepsze warunki umowy, a co za tym idzie – większy zysk. Dlatego warto dobrze przemyśleć, jaką sumę zdeponujemy oraz na jak długo.

Kapitalizacja odsetek i jej wpływ na zyski

Kapitalizacja odsetek

Kapitalizacja odsetek to kolejny kluczowy czynnik wpływający na nasze zyski z lokaty. To, jak często bank dolicza odsetki do naszego kapitału, ma istotny wpływ na wysokość ostatecznego zysku. Gdy odsetki kapitalizowane są co miesiąc, nasze zyski będą wyższe niż w przypadku rocznej kapitalizacji. Ta prosta zasada jest niezwykle istotna i warto ją uwzględnić w planowaniu inwestycji. Im częściej bank nalicza odsetki, tym większe profity zyskujemy dzięki efektowi procentu składanego.

Na koniec pamiętajmy o podatku Belki, który pomniejsza nasz realny zysk. Ten 19% podatek od zysków kapitałowych bank automatycznie potrąca przed wypłatą odsetek. Może to być dla niektórych zaskoczeniem, ale dobrze jest z wyprzedzeniem znać tę informację, aby uświadomić sobie, że zysk, który wkładamy w nasze plany finansowe, będzie pomniejszony. Mimo to, przy odpowiednio dobranej lokacie, nadal możemy osiągnąć satysfakcjonujący przychód. Analizując wszystkie te czynniki, lepiej zarządzamy swoimi oszczędnościami i podejmujemy świadome decyzje finansowe.

Ciekawostką jest, że jeśli zdecydujesz się na lokatę z miesięczną kapitalizacją odsetek, efektywnie możesz zwiększyć swoje zyski nawet o kilka procent w skali roku, dzięki efektowi procentu składanego, który działa na zasadzie „odsetki od odsetek”.

Jak obliczyć odsetki z uwzględnieniem kapitalizacji? Metody i wzory

Obliczanie odsetków z uwzględnieniem kapitalizacji stanowi kluczową umiejętność, szczególnie jeśli pragniesz skutecznie zarządzać swoimi oszczędnościami. Przede wszystkim warto zrozumieć, że na nasz zysk wpływa nie tylko wysokość oprocentowania lokaty, ale również częstotliwość kapitalizacji. Ta ostatnia może odbywać się codziennie, miesięcznie lub rocznie, co ma ogromne znaczenie dla naszych zysków. Najprościej mówiąc, im częściej bank dolicza odsetki do naszego kapitału, tym większe osiągamy zyski na końcu. W związku z tym warto przyjrzeć się różnym metodom kapitalizacji i wybrać tę, która najlepiej spełnia nasze oczekiwania.

Zobacz też:  Jak korzystać z karty debetowej Santander, by uniknąć nieprzyjemnych kosztów debetu?

Do obliczenia odsetek w przypadku kapitalizacji złożonej możemy wykorzystać prosty wzór: K = K0 * (1 + r/m)^(m*n). W tym wzorze K oznacza kapitał końcowy, K0 to kapitał początkowy, r przedstawia roczną stopę procentową, m określa liczbę kapitalizacji w roku, natomiast n to czas trwania lokaty w latach. Dzięki temu wzorowi szybko obliczysz, ile dokładnie zyskasz po określonym czasie, uwzględniając działanie procentu składanego. Nie zapominaj jednak o podatku Belki, który wynosi 19% i musisz go odjąć od uzyskanego zysku.

Kapitalizacja odsetek ma kluczowe znaczenie w obliczaniu zysków

Również ważne jest, aby zwrócić uwagę na różnice między kapitalizacją prostą a złożoną. W przypadku kapitalizacji prostej odsetki naliczane są jedynie od kapitału początkowego, co sprawia, że nie korzystasz z efektu procentu składanego. Z kolei kapitalizacja złożona pozwala obliczać odsetki również od wcześniej naliczonych zysków, co znacząco zwiększa nasze końcowe zyski. W związku z tym, gdy planujesz ulokować swoje środki, warto poszukać oferty, która zapewnia kapitalizację złożoną, aby w pełni zmaksymalizować swoje oszczędności.

Oto kluczowe różnice między kapitalizacją prostą a złożoną:

  • Kapitalizacja prosta nalicza odsetki tylko na podstawie kapitału początkowego.
  • Kapitalizacja złożona nalicza odsetki również od wcześniej naliczonych zysków.
  • Kapitalizacja złożona prowadzi do większych zysków w dłuższym okresie.
  • Warto wybierać oferty z kapitalizacją złożoną, aby zmaksymalizować oszczędności.

Nie zapominaj także o różnorodnych narzędziach, które ułatwiają obliczenia. Kalkulatory online oferują szybkie oszacowanie potencjalnych zysków z lokaty, uwzględniając kapitalizację odsetek, co pozwala zaoszczędzić czas i zminimalizować ryzyko popełnienia błędów obliczeniowych. Dzięki temu możesz skupić się na podejmowaniu najlepszych decyzji inwestycyjnych, bez obaw o skomplikowane kalkulacje. W końcu celem oszczędzania staje się zapewnienie sobie bezpieczeństwa finansowego oraz pomnożenie naszych środków na przyszłość.

Czy wiesz, że nawet niewielka różnica w częstotliwości kapitalizacji (np. miesięczna zamiast rocznej) może znacząco wpłynąć na końcowy zysk z lokaty? Przykładowo, przy tej samej stopie procentowej i kwocie wpłaty, kapitalizacja miesięczna może przynieść znacznie większe zyski niż kapitalizacja roczna, dzięki efektowi procentu składanego.

Podatek Belki – co musisz wiedzieć o opodatkowaniu zysków z lokat?

Odsetki od lokaty

Podatek Belki, znany również jako podatek od zysków kapitałowych, stanowi istotny temat dla każdego, kto zdecyduje się ulokować swoje oszczędności na lokacie bankowej. Choć na pierwszy rzut oka zagadnienie może wydawać się skomplikowane, w rzeczywistości opiera się na prostym mechanizmie. Gdy zakładam lokatę, czasem zapominam, że będę musiał odprowadzić 19% podatku od osiągniętych zysków, co może potencjalnie znacząco pomniejszyć moją końcową kwotę. Warto zatem zrozumieć, że bank automatycznie potrąca ten podatek z odsetek przed ich wypłatą, co oznacza, że nie muszę samodzielnie zajmować się jego odprowadzaniem do urzędu skarbowego.

Zobacz też:  Zrozumienie skrótu BIK i jego wpływ na Twoją historię kredytową

Mechanizm działania podatku Belki jest prosty: wystarczy, że obliczę 19% od swoich zysków z lokaty. Na przykład, jeśli na lokacie uzyskam przewidzianą kwotę, po odliczeniu podatku ostatecznie otrzymam mniejszą sumę. Co równie ważne, podatek ten obejmuje nie tylko lokaty, ale także obligacje oraz fundusze inwestycyjne. Dlatego też, planując moje oszczędności, powinienem zwrócić uwagę na te aspekty, unikając zbyt wygórowanych oczekiwań co do zysków.

Obliczanie podatku Belki jest proste i intuicyjne

Kluczowym elementem obliczania podatku od lokat jest znajomość kwoty uzyskanego zysku. Na przykład, jeżeli zarobiłem na lokacie 400 zł, wystarczy, że pomnożę tę kwotę przez 0,19, co daje podatek do zapłaty w wysokości 76 zł. W rezultacie na moje konto trafi 324 zł. Dodatkowo, warto być świadomym nadchodzących zmian dotyczących tego podatku. Co istotne, w przyszłym roku planowane jest wprowadzenie kwoty wolnej od podatku, co z pewnością przyniesie korzyści wielu oszczędzającym, umożliwiając cieszenie się wyższymi zyskami.

Nie możemy także zapominać o różnych produktach, które mogą wspierać nas w optymalizacji podatkowej. Opcje takie jak Indywidualne Konta Emerytalne (IKE) czy Indywidualne Konta Zabezpieczenia Emerytalnego (IKZE) umożliwiają pomnażanie zgromadzonych środków bez konieczności płacenia podatku Belki. Dlatego warto poszukiwać takich rozwiązań, które pozwolą mi lepiej zarządzać swoimi finansami i zwiększyć oszczędności w dłuższym okresie czasu.

Jakie zmiany w opodatkowaniu lokat przyniesie rok 2026?

Podatek Belki

Rok 2026 przynosi szereg istotnych zmian w zakresie opodatkowania lokat bankowych, które z pewnością wpłyną na decyzje wielu oszczędzających. Wśród najbardziej oczekiwanych nowości znajduje się wprowadzenie kwoty wolnej od podatku. Ten krok ma na celu uproszczenie systemu oraz uczynienie go bardziej przyjaznym dla osób fizycznych. Takie rozwiązanie oznacza, że część zysków z lokat nie będzie już podlegać opodatkowaniu, co bez wątpienia zachęci jeszcze większą liczbę osób do oszczędzania.

Należy również zauważyć, że zmiany te mają na celu złagodzenie obciążeń podatkowych, co jest miłym zaskoczeniem dla tych, którzy obawiali się wysokich kosztów związanych z inwestowaniem w lokaty. Obecnie podatek Belki wynosi 19%, co znacząco pomniejsza realny zysk z lokat. Dzięki nowym regulacjom klienci będą mogli efektywniej pomnażać swoje oszczędności, nie martwiąc się o to, że zarobione odsetki zostaną niemal w całości zjedzone przez fiskusa.

Kwota wolna od podatku korzystnie wpłynie na oszczędzających

Oszczędzający z niecierpliwością oczekiwali wprowadzenia kwoty wolnej od podatku. W praktyce oznacza to, że część zysku z lokaty pozostanie wolna od opodatkowania, co zdecydowanie zwiększy zainteresowanie lokatami bankowymi jako formą bezpiecznego inwestowania. Dzięki temu osoby planujące długoterminowe oszczędzanie osiągną lepsze wyniki finansowe, co staje się szczególnie istotne w dobie rosnącej inflacji. Przy odpowiednim oprocentowaniu lokaty mogą zyskać dodatkową atrakcyjność jako produkt finansowy.

Zobacz też:  Jak obliczyć zyski z lokaty i dowiedzieć się, ile odsetek możesz otrzymać?

Warto, aby każdy z nas dokładnie śledził te zmiany i dostosował swoje plany inwestycyjne do nowych realiów. Odkrycie kwoty wolnej od podatku pozwoli wielu osobom skuteczniej pomnażać oszczędności, zwiększając tym samym ich niezależność finansową. Jeśli planujesz przeznaczyć środki na lokaty w nadchodzących miesiącach, koniecznie zwróć uwagę na te ekscytujące nowości i bądź na bieżąco z nadchodzącymi regulacjami!

Poniżej przedstawiamy najważniejsze zmiany związane z wprowadzeniem kwoty wolnej od podatku:

  • Wprowadzenie kwoty wolnej od podatku na zyski z lokat bankowych.
  • Obniżenie lub zniesienie podatku Belki dla kwoty wolnej.
  • Przy większym oprocentowaniu lokaty mogą stać się bardziej atrakcyjne.
  • Możliwość długoterminowego oszczędzania bez obaw o wysokie koszty podatkowe.
Zmiana Opis
Kwota wolna od podatku Wprowadzenie kwoty wolnej od podatku na zyski z lokat bankowych.
Obniżenie podatku Belki Obniżenie lub zniesienie podatku Belki dla kwoty wolnej.
Atrakcja lokat Przy większym oprocentowaniu lokaty mogą stać się bardziej atrakcyjne.
Długoterminowe oszczędzanie Możliwość długoterminowego oszczędzania bez obaw o wysokie koszty podatkowe.

Pytania i odpowiedzi

Jakie czynniki wpływają na wysokość odsetek od lokaty bankowej?

Na wysokość odsetek od lokaty wpływają przede wszystkim oprocentowanie, czas trwania lokaty oraz kwota wpłaty. Wyższe oprocentowanie oraz dłuższy okres inwestycji mogą zapewnić lepsze warunki umowy i większy zysk.

Jak można obliczyć odsetki z uwzględnieniem kapitalizacji?

Aby obliczyć odsetki z uwzględnieniem kapitalizacji, można wykorzystać wzór: K = K0 * (1 + r/m)^(m*n). Ważne jest, aby pamiętać o częstotliwości kapitalizacji, która może znacząco wpłynąć na końcowy zysk.

Dlaczego kapitalizacja złożona jest korzystniejsza od kapitalizacji prostej?

Kapitalizacja złożona jest korzystniejsza, ponieważ nalicza odsetki także od wcześniej naliczonych zysków, co prowadzi do większych zysków w dłuższym okresie. W przeciwieństwie do niej, kapitalizacja prosta nalicza odsetki wyłącznie od kapitału początkowego.

Co to jest podatek Belki i jak wpływa na zyski z lokat?

Podatek Belki to 19% podatek od zysków kapitałowych, który automatycznie jest potrącany przez bank przed wypłatą odsetek. Oznacza to, że realny zysk z lokaty jest pomniejszany, co warto brać pod uwagę przy planowaniu oszczędności.

Jakie zmiany w opodatkowaniu lokat są planowane na rok 2026?

W 2026 roku planowane jest wprowadzenie kwoty wolnej od podatku na zyski z lokat bankowych, co ma na celu złagodzenie obciążeń podatkowych dla oszczędzających. To rozwiązanie może zwiększyć atrakcyjność lokat jako formy inwestycji oraz zachęcić do długoterminowego oszczędzania.

Tagi: Odsetki od lokaty, Kapitalizacja odsetek, Podatek Belki, Opodatkowanie lokat, Zmiany w opodatkowaniu.

Jestem autorką bloga milionyeurolotto.pl. Fascynują mnie gry liczbowe – Lotto, Eurojackpot i zdrapki – a także to, jak wielkie emocje potrafi wywołać mały kupon z liczbami. Od lat śledzę wyniki, analizuję strategie i szukam odpowiedzi na pytanie, co sprawia, że jedni wygrywają, a inni ciągle próbują szczęścia.

Z wykształcenia jestem związana z ekonomią, co naturalnie przeniosło się na moje zainteresowania finansami, bankowością i sposobami zarabiania pieniędzy. Na blogu dzielę się tym, czego sama się uczę – od statystycznych ciekawostek, przez porady dotyczące mądrego zarządzania pieniędzmi, aż po inspirujące historie wygranych.

Dodaj komentarz

Twój adres e-mail nie zostanie opublikowany. Wymagane pola są oznaczone *